在Win8系统中,当你使用宽带连接上网时,有时可能会遇到提示错误813的问题,导致你无法上网。这个问题可能是由于一些设置错误或者驱动程序出现问题导致的。但是不用担心,我们提供了一些简单的解决方法,可以帮助你轻松解决Win8宽带连接提示错误813的问题。下面将详细介绍Win8宽带连接提示错误813的解决方法。
错误813现象如下图:

故障提示:
错误813:建立了前一个宽带连接的情况下,你在使用相同的设备或端口尝试建立另一个宽带连接。请断开前一个连接,然后重新建立连接。
故障原因:
其他宽带连接已连接上(“图1”);系统原因等。

图1
【解决方法】:
1)重新启动电脑(一般能解决)
2) 重建宽带连接
3) 重装操作系统
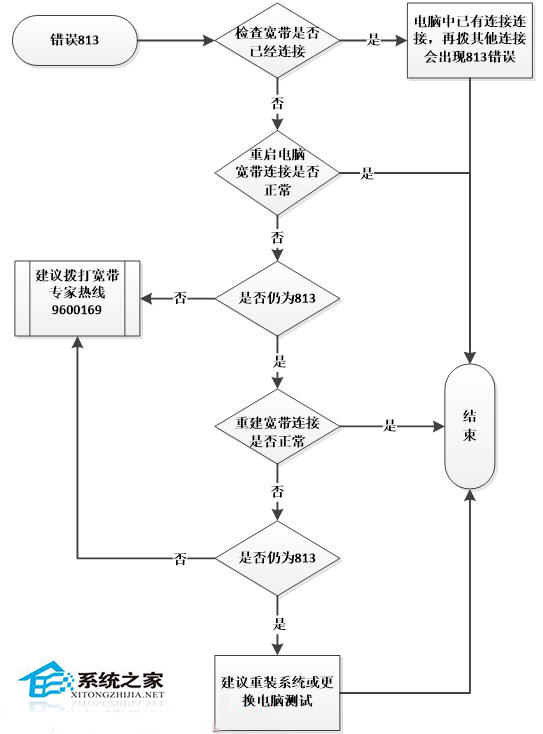
错误813的流程图:

上面就是Win8宽带连接错误813的解决方法了,重启电脑后就能强制关闭宽带连接,就不会出现同时连接两个宽带连接的问题了,你学会了吗?
郑重声明:本文由网友发布,不代表盛行IT的观点,版权归原作者所有,仅为传播更多信息之目的,如有侵权请联系,我们将第一时间修改或删除,多谢。