excel中方差的函数是:VAR()和VARP()。VAR()函数可以计算基于给定样本的方差,语法“VAR(num1,[num2],...)”;VARP()函数可以根据整个总体计算方差,语法“VARP(num1,[num2],...)”。

本文操作环境:windows10系统、microsoft office excel 2019、thinkpad t480电脑。
相关学习推荐:excel教程
excel VAR()函数
计算基于给定样本的方差。
语法:
VAR(number1,[number2],...)
VAR 函数语法具有下列参数:
Number1 必需。 对应于总体样本的第一个数值参数。
Number2, ... 可选。 对应于总体样本的 2 到 255 个数值参数。
excel VARP()函数
根据整个总体计算方差。
语法:
VARP(number1,[number2],...)
VARP 函数语法具有下列参数:
Number1 必需。 对应于总体的第一个数值参数。
Number2,... 可选。 对应于总体的 2 到 255 个数值参数。
备注
VAR 假定其参数是总体样本。 如果数据代表整个总体,请使用 VARP 计算方差。
参数可以是数字或者是包含数字的名称、数组或引用。
逻辑值和直接键入到参数列表中代表数字的文本被计算在内。
如果参数是一个数组或引用,则只计算其中的数字。 数组或引用中的空白单元格、逻辑值、文本或错误值将被忽略。
如果参数为错误值或为不能转换为数字的文本,将会导致错误。
如果要使计算包含引用中的逻辑值和代表数字的文本,请使用 VARA 函数。
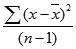
VAR 使用下面的公式:

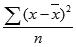
VARP 的公式为:

其中 x 是样本平均值 AVERAGE (number1,number2,...) n 是样本大小。
想要查阅更多相关文章,请访问PHP中文网!!
郑重声明:本文由网友发布,不代表盛行IT的观点,版权归原作者所有,仅为传播更多信息之目的,如有侵权请联系,我们将第一时间修改或删除,多谢。